PHP算法练习七:实现等比数列的判断方法
在《PHP算法练习六:判断一个值是否在数组中连续出现三次》中,给大家介绍了怎么判断一个值在数组中是不是连续出现三次,这种思路也是值得大家学习的,感兴趣的朋友可以了解一下~
今天本文的主题是如何通过PHP来判断一组数据是不是等比数列?对于PHP小白来说可能略有难度,但是相信大家阅读完本文,就对此类问题,了如指掌了。
首先大家要知道什么是等比数列:
等比数列是指从第二项起,每一项与它的前一项的比值等于同一个常数的一种数列,常用G、P表示。这个常数叫做等比数列的公比,公比通常用字母q表示(q≠0),等比数列a1≠ 0。其中{an}中的每一项均不为0。注:q=1 时,an为常数列。
比如数列:2、4、8、16、······
每一项与前一项的比值:4÷2=8÷4=16÷8=2,所以这个数列是等比数列,而它的公比就是2。
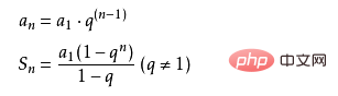
等比数列通项公式、求和公式如下:

在简单了解什么是等比数列后,我们就要进入主题了。
下面是我给出的实现等比数列的判断方法:
<?php
function is_geometric($arr)
{
if (sizeof($arr) <= 1)
return True;
# 计算比率
$ratio = $arr[1]/$arr[0];
# 检查剩余的比例
for($i=1; $i<sizeof($arr); $i++)
{
if (($arr[$i]/($arr[$i-1])) != $ratio)
{
return "不是等比数列";
}
}
return "是等比数列";
}
$my_arr1 = array(2, 6, 18, 54);
$my_arr2 = array(10, 5, 2.5, 1.20);
print_r(is_geometric($my_arr1)."<br>");
print_r(is_geometric($my_arr2));
判断结果是:
是等比数列 不是等比数列
上述代码中,我给了两个判断数组,分别是$my_arr1 = array(2, 6, 18, 54);和$my_arr2 = array(10, 5, 2.5, 1.20);。
明显$my_arr1是等比数列,其公比是3。而$my_arr2则不是等比数列。
最后给大家推荐最新最全面的《PHP视频教程》~快来学习吧!

