[译]使用DOT语言和GraphvizOnline来可视化你的ASP.NETCore3.0终结点01
这是系列文章中的第一篇:使用GraphvizOnline可视化ASP.NETCore3.0终结点。.
- 第1部分-使用DOT语言来可视化你的ASP.NETCore3.0终结点(本文)
- 第2部分-向ASP.NET Core应用程序添加终结点图
- 第3部分-使用ImpromptuInterface创建一个自定义的DfaGraphWriter,以便于反射
作者:依乐祝
原文:https://andrewlock.net/visualizing-asp-net-core-endpoints-using-graphvizonline-and-the-dot-language/
译文:https://www.cnblogs.com/yilezhu/p/13301981.html
在这篇文章中,我将展示如何在ASP.NETCore3.0应用程序中使用GraphvizOnline服务。这使您可以创建如下所示的图表,这些图表描述了应用程序中的所有端点:
用GraphvizOnline和DOT语言绘制图形
GraphvizOnline是一个GitHub上的开源项目,它为DOT图形描述语言 提供了一个在线可视化工具。这是一种简单的语言,它允许您定义各种类型的图形,它将节点与边连接起来。
例如,一个基本的无向图可以定义为
graph MyGraph {
a -- b -- c;
b -- d;
}
它描述了以下图表:
每个节点都有一个名称(a, b, c, d),并且--定义节点之间的边缘。边定义节点之间的连接,但它们没有方向(因此名称,无向【undirected】).
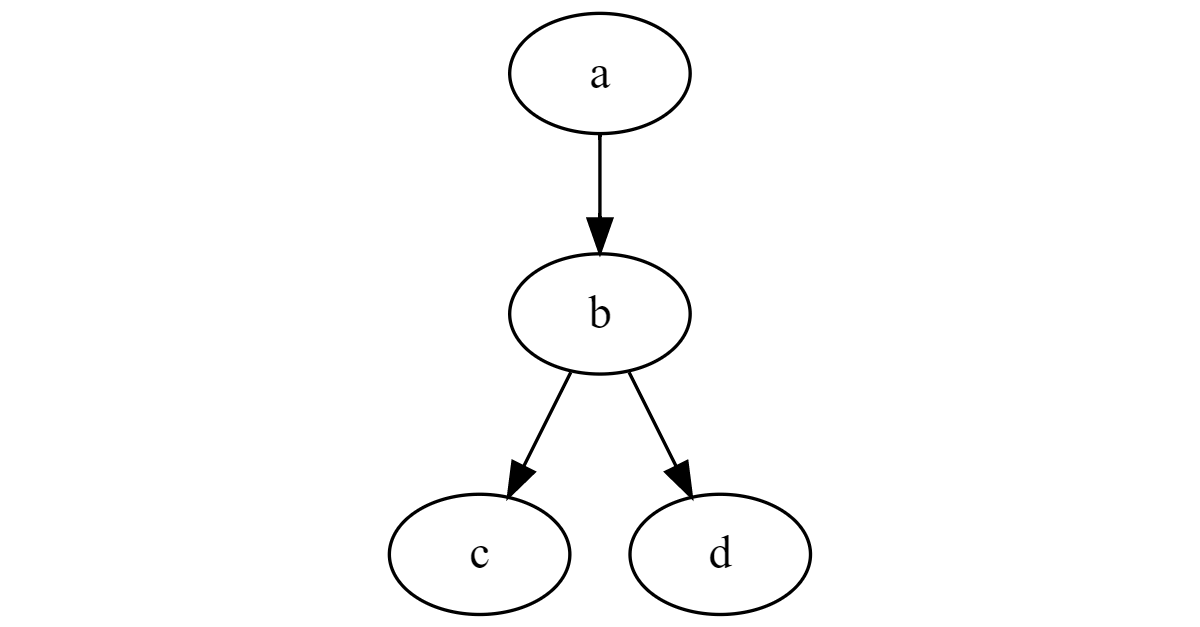
当然,你也可以定义一个有向图,其中边是有方向的。对于有向边,使用->而不是--。例如:
digraph MyGraph {
a -> b -> c;
d -> b;
}
它描述了以下图表:
您可以自定义节点和边缘以多种方式显示的方式。例如,可以标记节点和边缘:
digraph MySimpleGraph {
// The label attribute can be used to change the label of a node...
a [label="Foo"];
b [label="Bar"];
// ... or an edge
a -> b [label="Baz"];
}
你可以使用DOT图形描述语言做更多的事情,这正是我们现在所需要的。那么,这如何应用于ASP.NET Core应用程序呢?
使用有向图来可视化ASP.NET Core终结点
ASP.NETCore中的终结点路由系统通过创建端点URL段的有向图来有效地工作。然后将传入的请求与图进行匹配(一次一个段),以确定要执行的终结点。
例如,以下简单有向图表示ASP.NET Core3.0 RazorPages 默认应用程序模板中的终结点(dotnet new webapp),其中包含三个Razor页面:Index.cshtml, Error.cshtml和Privacy.cshtml:
digraph DFA {
1 [label="/Error/"]
2 [label="/Index/"]
3 [label="/Privacy/"]
4 -> 1 [label="/Error"]
4 -> 2 [label="/Index"]
4 -> 3 [label="/Privacy"]
4 [label="/"]
}
其中描述为如下图表:
在上面的DOT文件中,节点被赋予顺序的整数名,
1,2,3等,并使用端点名称进行标记。这是ASP.NET Core用于表示终结点图的格式。
对于Razor页面,路由非常简单,所以图非常明显。ASP.NET Core WebAPI应用程序生成了一个更有趣的图表。例如,下面显示的ASP.NET Core 2.0默认模板中包含的ValuesController。它使用多个HTTP谓词,以及稍微复杂的URL结构:
[Route("api/[controller]")]
[ApiController]
public class ValuesController : ControllerBase
{
// GET api/values
[HttpGet]
public ActionResult<IEnumerable<string>> Get() => new string[] { "value1", "value2" };
// GET api/values/5
[HttpGet("{id}")]
public ActionResult<string> Get(int id) => "value";
// POST api/values
[HttpPost]
public void Post([FromBody] string value) { }
// PUT api/values/5
[HttpPut("{id}")]
public void Put(int id, [FromBody] string value) { }
// DELETE api/values/5
[HttpDelete("{id}")]
public void Delete(int id) { }
}
为了更好地度量,我还添加了一个基本的健康检查端点。UseEndpoints():
app.UseEndpoints(endpoints =>
{
endpoints.MapHealthChecks("/healthz");
endpoints.MapControllers();
});
此应用程序生成以下图表:
digraph DFA {
1 [label="/healthz/"]
2 [label="/api/Values/{...}/ HTTP: GET"]
3 [label="/api/Values/{...}/ HTTP: PUT"]
4 [label="/api/Values/{...}/ HTTP: DELETE"]
5 [label="/api/Values/{...}/ HTTP: *"]
6 -> 2 [label="HTTP: GET"]
6 -> 3 [label="HTTP: PUT"]
6 -> 4 [label="HTTP: DELETE"]
6 -> 5 [label="HTTP: *"]
6 [label="/api/Values/{...}/"]
7 [label="/api/Values/ HTTP: GET"]
8 [label="/api/Values/ HTTP: POST"]
9 [label="/api/Values/ HTTP: *"]
10 -> 6 [label="/*"]
10 -> 7 [label="HTTP: GET"]
10 -> 8 [label="HTTP: POST"]
10 -> 9 [label="HTTP: *"]
10 [label="/api/Values/"]
11 -> 10 [label="/Values"]
11 [label="/api/"]
12 -> 1 [label="/healthz"]
12 -> 11 [label="/api"]
12 [label="/"]
}
表现为如下图表:
在这个图中还有很多事情要做,因为我们现在有了可变的路由参数值(路由模板中的{id},在图中显示为{...})和HTTP动词约束(GET/PUT/POST等等)
当我第一次看到这个图表时,我很难理解它。每个节点都是终结点吗?当然不是,如/api/不应该产生响应。那这个呢?至于HTTP: *端点呢,它们会产生响应吗?
为了进一步了解,我查阅了可以生成这些图的ASP.NET Core中的代码,但它有点复杂,不幸的是,由于大量使用
internal类。我将在稍后的文章中探讨这些代码。
为了更好地理解端点图,我们需要了解并非所有的节点都是相同的。在下一节中,我们将深入研究这个简单图中的不同类型的节点,然后研究一个更好的图形表示(至少在我看来!)
了解不同类型的节点。
图中的每个节点都与给定的“深度”相关联。这是应该已经匹配的URL段数。例如,/api/Values/节点的深度为2-它要求空段/和/api段已经匹配。
当请求到达EndpointRoutingMiddleware(由UseRouting()添加)时,将传入的请求URL与此图进行比较。试图从树梢的根节点开始,通过图表找到一条路径。URL段与图中的边进行增量匹配,并在图中遍历一条路径,直到整个请求URL匹配为止。
每个节点(由在ASP.NET Core中的DfaNode中)有几个属性。我们目前感兴趣的属性是:
Matches*这是与该节点相关联的Endpoint(S)。如果通过路由匹配此节点,则这是将被选择用于执行的Endpoint。Literals这些是连接节点的边缘。如果DfaNode有Literals,它具有可以进一步遍历以到达其他节点的文字段。例如,/api/节点包含一个有/Values值的Literal,则指向/api/Values节点。PolicyEdges这些边缘是基于URL以外的约束进行匹配的。例如,图中基于动词的边,如HTTP: GET,是策略的边缘,指的是不同的DfaNode.Parameters如果节点具有支持路由参数的边缘(例如,{id}),Parameters指向处理匹配参数的节点。这在图中是用/*边表示的。.
还有一个附加的属性,
CatchAll,这在某些图形中是相关的,但我现在将忽略它,因为我们的API图并不需要它。
基于这些特性,我们可以通过使用DOT语言的其他特性,如形状、颜色、线型和箭头:
上图中添加了以下内容:
- 没有任何关联的节点
Endpoint都以默认样式显示,即黑色气泡。 - 有
Matches的显示为填充的棕色盒子。这些节点具有Endpoint,这可以产生响应。对于上面的API示例,这适用于已选择谓词的节点以及健康检查端点。 - 文字段边缘显示为默认的黑色边缘,带有一个填充箭头。
Parameters边缘(/*)以蓝色显示,使用菱形箭头。PolicyEdges以红色显示,带有虚线和空三角形箭头。
现在,我承认我的设计技巧很烂,但是我认为您可以同意这个图表显示的信息比默认的要多!??–这是生成上面的图形的定义,请记住,您可以使用在线编辑来可视化和播放显示。
digraph DFA {
1 [label="/healthz/" shape=box style=filled color="brown" fontcolor="white"]
2 [label="/api/Values/{...}/ HTTP: GET" shape=box style=filled color="brown" fontcolor="white"]
3 [label="/api/Values/{...}/ HTTP: PUT" shape=box style=filled color="brown" fontcolor="white"]
4 [label="/api/Values/{...}/ HTTP: DELETE" shape=box style=filled color="brown" fontcolor="white"]
5 [label="/api/Values/{...}/ HTTP: *" shape=box style=filled color="brown" fontcolor="white"]
6 -> 2 [label="HTTP: GET" color="red" style=dashed arrowhead=open]
6 -> 3 [label="HTTP: PUT" color="red" style=dashed arrowhead=open]
6 -> 4 [label="HTTP: DELETE" color="red" style=dashed arrowhead=open]
6 -> 5 [label="HTTP: *" color="red" style=dashed arrowhead=open]
6 [label="/api/Values/{...}/"]
7 [label="/api/Values/ HTTP: GET" shape=box style=filled color="brown" fontcolor="white"]
8 [label="/api/Values/ HTTP: POST" shape=box style=filled color="brown" fontcolor="white"]
9 [label="/api/Values/ HTTP: *" shape=box style=filled color="brown" fontcolor="white"]
10 -> 6 [label="/*" arrowhead=diamond color="blue"]
10 -> 7 [label="HTTP: GET" color="red" style=dashed arrowhead=open]
10 -> 8 [label="HTTP: POST" color="red" style=dashed arrowhead=open]
10 -> 9 [label="HTTP: *" color="red" style=dashed arrowhead=open]
10 [label="/api/Values/"]
11 -> 10 [label="/Values"]
11 [label="/api/"]
12 -> 1 [label="/healthz"]
12 -> 11 [label="/api"]
12 [label="/"]
}
注意
"HTTP: *"节点与端点关联,即使您可能不期望它,因为它们返回405 Method Not Allowed.
在下一篇文章中,我将展示如何自动为自己的ASP.NET Core应用程序生成端点图。
总结
在这篇文章中,我介绍了用于描述图形的DOT语言,并展示了如何使用在线编辑从图表中创建图像。然后,我展示了如何将ASP.NETCore 3.x应用程序中的端点路由表示为有向图。我描述了端点图中不同节点和边缘之间的差异,并调整了图形的显示以更好地表示这些差异。在后面的文章中,我将展示如何为应用程序生成自己的端点图,如何自定义显示,以及如何做的不仅仅是查看图形。
[译]使用DOT语言和GraphvizOnline来可视化你的ASP.NETCore3.0终结点01
原文地址:https://www.cnblogs.com/yilezhu/p/13301981.html

![[译]使用DOT语言和GraphvizOnline来可视化你的ASP.NETCore3.0终结点01
[编程语言教程]](https://www.zixueka.com/wp-content/uploads/2024/02/1706717643-80bc4b2fc86cc02.jpg)






