机器学习-4-决策树
- 简介
决策树是基于树结构进行决策的,决策树的目的是产生一颗泛化能力强,即处理未见示例能力强的决策树,其基本流程遵循简单而直观的“分而治之”(divide-and-conquer)的策略。
- 伪代码
—————————————-
输入:训练集D = {(x1,y1),(x2,y2),……..,(xm,ym)};
属性集A = {a1,a2,………….,ad}
过程:函数TreeGenerate(D,A)
1:生成结点 node;
2:if D中样本全属于同一类别C then
3: 将node标记为C类叶节点;return
4:end if
5:if A == Φ or D中样本在A上取值相同 then
6: 将node标记为叶节点,其类别标记为D中样本数最多的类;return
7:end if
8:从A中选择最优划分属性a*; #这里就需要划分算法
9:for a* 的每一个值 a*v do
10 : 为node生成一个分支;令Dv表示D中在a*上取值为a*v 的样本子集;
11 : if Dv为空 then
12 : 将分支节点标记为叶节点,其类别标记为D中样本最多的类;return
13 : else
14 : 以 TreeGenerate(Dv , A{a*})为分支节点 #精髓递归
15 : end if
16 :end for
输出:以node为根结点的一颗决策树
————————————–
伪代码注意点
递归返回情况:
1.当前节点包含的样本全属于同一类别,无需划分;
2.当前属性集为空,或是所有样本在所有属性上的取值相同;
3.当前节点包含的样本集合为空,不能划分;
特别地,在第2种情形下,我们把当前节点标记为叶结点,并将其类别设定为该结点所含样本最多的类别;在第3种情形下,同样把当前结点标记为叶结点,但将其类别设定为其父结点所含样本最多的类别。即2为当前结点的后验分布,3则是把父结点的样本分布当作结点的先验分布。
- 划分算法
1.信息熵(information entropy)是度量样本集合纯度最常用的一种指标。假定当前样本集合D种第k类样本所占的比例为pk(k = 1,2,……..,|y|),则D的信息熵定义为

Ent(D)的值越小,则D的纯度越高。
2.信息增益(information gain)
假定离散属性a有V个可能的取值{a1 ,a2,…….,av},若使用a来对样本集D进行划分,则会产生V个分支结点,其中第v个分支结点包含了D中所有在属性a上取值为av的样本,记为Dv.根据上述公式计算Dv的信息熵,再考虑到不同的分支结点包含的样本数不同,给分支结点赋予权重|Dv|/|D|,即样本数越多的分支结点的影响越大,于是可计算出用属性a对样本集D进行划分所获得的“信息增益“

一般而言,信息增益越大,则意味着使用属性a来进行划分所获得的”纯度提升“越大。
3.增益率
信息增益准则对可取值数目较多的属性有所偏好,为减少这种偏好可能带来的不利影响,著名的C4.5决策树算法不直接使用信息增益,而是使用增益率(gain ratio)来选择最优划分属性。

其中

称为属性a的“固有值”。属性a的可能取值数目越多(即V越大),则IV(a)的值通常会越大。
需注意的是,增益率准则对可取值数目较少的属性有所偏好,因此,C4.5算法并不是直接选择增益率最大的候选划分属性,而是使用了一个启发式:先从候选划分属性中找出信息增益高于平均水平的属性,再从中选择增益率最高的。
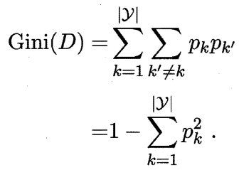
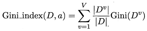
4.基尼指数
CART决策树使用“基尼系数”来选择划分属性。数据集D的纯度可以用基尼值来度量:

直观来说,Gini(D)反映了从数据集D中随机抽取两个样本,其类别标记不一致的概率。因此,Gini(D)越小,则数据集D的纯度越高。则属性a的基尼指数定义为

于是,我们再候选属性集合A中,选择那个使得划分后基尼指数最小的属性作为最优划分属性,即a*= arg min Gini_index( D,a)
- 剪枝处理
剪枝(pruning)是决策树学习算法对付“过拟合”的主要手段。
预剪枝:在决策树生成过程中,对每个结点在划分前先进行估计,若当前结点的划分不能带来决策树泛化性能的提升,则停止划分并将当前结点标记为叶节点;
后剪枝:从训练集生成一颗完整的决策树,然后自底向上地对非叶结点进行考察,若将该结点对应的子树替换为叶节点能带来决策树泛化性能提升,则将该子树替换为叶节点。
- 连续与缺失值
可以将连续属性离散化,最简单的策略是采用二分法对连续属性进行处理。
缺失值处理
- 多变量决策树
emmmmm
- 实例代码
from math import log
import pandas as pd
import numpy as np
from matplotlib.font_manager import FontProperties
"""
函数说明:计算信息熵函数
输入:data,计算列名
输出:信息熵
"""
def compute_infoentropy(Dataframe,columns_name):
data = Dataframe[columns_name]
data_classify = []
length = len(data)
for singledata in data:
if len(data_classify) == 0:
data_classify.append([singledata,1])
else:
exist = 0
for i in range(len(data_classify)):
if data_classify[i][0] == singledata:
data_classify[i][1] = data_classify[i][1]+1
exist = 1
if exist == 0:
data_classify.append([singledata,1])
infoentropy = 0
for data_classfy1 in data_classify:
infoentropy += data_classfy1[1] / length * log(data_classfy1[1] / length,2)
infoentropy = -infoentropy
return infoentropy
"""
函数说明:将数据依照某种类型分类
输入:数据,数据分类类型
输出:分类数据
"""
def my_classify(Dataframe,columns_name):
data = Dataframe[columns_name]
classify = []
for singledata in data:
if singledata not in classify:
classify.append(singledata)
return classify
"""
函数说明:计算各类别的信息增益(information gain),并选择信息增益最大的类别,进行相应划分
输入:数据,类别
输出:最大类别
"""
def choose_bestfeature(Dataframe):
#获取columns_names
columns_names = list(Dataframe)
key_name = columns_names[-1]
columns_names = columns_names[:-1]
data_count = Dataframe[key_name].count()
gain_list=[]
#计算各属性信息增益值
key_infoentropy = compute_infoentropy(Dataframe,key_name)
for singlename in columns_names:
classify = my_classify(Dataframe,singlename)
dflist = []
for edata in classify:
dflist.append(Dataframe[Dataframe[singlename] == edata])
sum_infoentropy = 0
for dflist1 in dflist:
sum_infoentropy += dflist1[key_name].count()/data_count*compute_infoentropy(dflist1,key_name)
gain_list.append([singlename,key_infoentropy-sum_infoentropy])
max_gain = ["",0]
for gain in gain_list:
if gain[1]>max_gain[1]:
max_gain=gain
return max_gain[0]
"""
函数说明:获取当前最大分类的属性
输入:data
输出:特征属性数量占多数的属性
"""
def get_maxproperty(Dataframe):
my_property = []
clnname=list(Dataframe)
for data in Dataframe[clnname[0]]:
exist = 0
for i in range(len(my_property)):
if my_property[i][0] == data:
my_property[i][1] += 1
exist = 1
if exist == 0:
my_property.append([data,1])
max_p=["",0]
for my_property1 in my_property:
if my_property1[1]>max_p[1]:
max_p[0]=my_property1[0]
return max_p[0]
"""
函数说明:决策树主函数
输入:数据集
输出:字典形式的决策树
"""
def mydescion_tree(Dataframe,feature):
key_featlist = Dataframe.iloc[:,-1]
if key_featlist.loc[key_featlist == key_featlist.iloc[0]].count() == key_featlist.count(): #如果分类相同,则取该分类
return key_featlist.iloc[0]
if Dataframe.shape[1] == 1: #如果只剩下一列数据(即分到了最后一类特征),那么取分类占多数的分类
return get_maxproperty(Dataframe)
bestfeature = choose_bestfeature(Dataframe) #找出当前最佳特征
feature.append(bestfeature)
tree = {bestfeature : {}} #创建节点用的
classify = my_classify(Dataframe,bestfeature) #找出当前最佳特征共有几种属性
for classify1 in classify: #遍历当前特征的属性
# 递归,后面dataframe是获取特征等于当前属性的dataframe后并删除当前最佳特征,因为已经分过类了,进入递归。
tree[bestfeature][classify1] = mydescion_tree(Dataframe[Dataframe[bestfeature]==classify1].drop([bestfeature],axis=1),feature)
return tree
#测试数据
df1 = pd.read_excel("西瓜数据.xlsx",engine="openpyxl")
df1 = df1.iloc[:,1:]
tree = mydescion_tree(df1,feature=[])
print(tree)

![机器学习-4-决策树[Python基础]](https://www.zixueka.com/wp-content/uploads/2023/10/1696934381-b24020b927f78af.jpg)
