在Word中使用域帮助输入数学公式
办公教程导读
收集整理了【在Word中使用域帮助输入数学公式】办公软件教程,小编现在分享给大家,供广大互联网技能从业者学习和参考。文章包含1351字,纯文字阅读大概需要2分钟。
办公教程内容图文
先说一个单纯的三次根下二这样的数字输入吧。还是先按下“Ctrl F9”快捷键,然后在大括号内输入域代码“eq /r(3, 2)”,选中代码中的数字“3”,将它的字号调小,然后按下右键菜单中的“切换域代码”命令,就可以得到数字三次根下二了,如图2所示。

图3 Word中设置字符间距
确定后就可以使箭头符号向上移动5磅的位置,这样,就可以移动到字符的上方了。现在,再选中域代码,然后点击“切换域代码”命令,就可以得到预期的效果了,如图4所示。

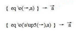
图4 调整箭头字符后效果
如果您觉得这样子操作比较麻烦的话,还可以直接在域符号中输入代码“eq /o (/s/up5(→),a)”,这样,同样可以实现将箭头向上提升5磅的效果。如上图4所示。
怎么样,不难吧?如果您经常要录入数学公式,但却没有安装公式编辑器或者烦了公式编辑器,那么,不妨试试用域代码来编写公式,呵呵,感觉一定很不错的!
办公教程总结
以上是为您收集整理的【在Word中使用域帮助输入数学公式】办公软件教程的全部内容,希望文章能够帮你了解办公软件教程在Word中使用域帮助输入数学公式。
如果觉得办公软件教程内容还不错,欢迎将网站推荐给好友。


